Nội dung toàn văn Tiêu chuẩn quốc gia TCVN 5577:2012 về Rạp chiếu phim - Tiêu chuẩn thiết kế
TIÊU CHUẨN QUỐC GIA
TCVN 5577:2012
RẠP CHIẾU PHIM - TIÊU CHUẨN THIẾT KẾ
Cinemas - Design Standard
Lời nói đầu
TCVN 5577 : 2012 thay thế TCVN 5577 : 1991
TCVN 5577 : 2012 được chuyển đổi từ TCVN 5577 : 1991 theo quy định tại khoản 1 Điều 69 của Luật Tiêu chuẩn và Quy chuẩn kỹ thuật và điểm b) Khoản 1 Điều 6 Nghị định 127/2007/NĐ-CP ngày 01/8/2007 của Chính phủ quy định chi tiết thi hành một số điều của Luật Tiêu chuẩn và Quy chuẩn kỹ thuật.
TCVN 5577 : 2012 do Viện Kiến trúc, Quy hoạch Đô thị & Nông thôn- Bộ Xây dựng biên soạn, Bộ Xây dựng đề nghị, Tổng cục Tiêu chuẩn - Đo lường - Chất lượng thẩm định, Bộ Khoa học và Công nghệ công bố.
RẠP CHIẾU PHIM - TIÊU CHUẨN THIẾT KẾ
Cinemas - Design standard
1. Phạm vi áp dụng
Tiêu chuẩn này áp dụng để thiết kế xây dựng mới hoặc cải tạo các rạp chiếu phim sử dụng để chiếu phim cỡ 35 mm, 16 mm, sử dụng máy chiếu kỹ thuật số, HD trên màn ảnh thường, màn ảnh giả rộng và màn ảnh rộng.
CHÚ THÍCH:
1) Rạp chiếu phim chiếu các loại hình khác được thiết kế theo Báo cáo đầu tư xây dựng riêng và có thể tham khảo tiêu chuẩn này.
2) Trong tiêu chuẩn này "Rạp chiếu phim" được gọi tắt là "Rạp".
3) Các rạp, cụm rạp, phòng chiếu phim được xây dựng trong những tổ hợp thương mại, dịch vụ, vui chơi giải trí có thể tham khảo tiêu chuẩn này.
2. Tài liệu viện dẫn
Các tài liệu viện dẫn sau rất cần thiết cho việc áp dụng tiêu chuẩn này. Đối với các tài liệu viện dẫn ghi năm công bố thì áp dụng phiên bản được nêu. Đối với các tài liệu viện dẫn không ghi năm công bố thì áp dụng phiên bản mới nhất, bao gồm các sửa đổi, bổ sung (nếu có).
TCVN 2622:1995, Phòng cháy, chống cháy cho nhà và công trình - Yêu cầu thiết kế.
TCVN 5687:2010, Thông gió, điều hòa không khí - Tiêu chuẩn thiết kế.
TCVN 7958:2008, Bảo vệ công trình xây dựng - Phòng chống mối cho công trình xây dựng mới.
TCVN 9385 : 2012, Chống sét cho công trình xây dựng - Hướng dẫn thiết kế, kiểm tra và bảo trì hệ thống.
3. Quy định chung
3.1. Quy mô rạp tính theo số chỗ ngồi trong phòng khán giả, quy định từ 200 chỗ đến 1 000 chỗ.
CHÚ THÍCH:
1) Rạp có phòng khán giả trên 1 000 chỗ thiết kế theo Báo cáo đầu tư xây dựng riêng và tuân theo các quy định kỹ thuật của tiêu chuẩn này.
2) Ở cấp huyện, thị trấn cho phép xây dựng rạp có quy mô từ 100 chỗ đến 300 chỗ
3.2. Quy mô rạp phải phù hợp với quy mô dân số và nhu cầu chiếu phim của khu vực mà rạp đó phục vụ.
3.3. Rạp được thiết kế với cấp công trình I và II theo các quy định về phân loại, phân cấp công trình dân dụng, công nghiệp và hạ tầng kỹ thuật đô thị [1].
CHÚ THÍCH:
1) Những rạp có yêu cầu cao, thiết kếở cấp công trình đặc biệt phải có Báo cáo đầu tư xây dựng riêng được duyệt.
2) Những rạp xây dựng ở cấp huyện tới quy mô từ 100 chỗ đến 300 chỗ có thể xây dựng ở cấp công trình III.
3.4. Khi thiết kế rạp ngoài những quy định trong tiêu chuẩn này còn phải tuân theo những quy định có liên quan.
CHÚ THÍCH: Khi thiết kế rạp cần tính đến nhu cầu tiếp cận và sử dụng của người khuyết tật. Yêu cầu thiết kế được lấy theo quy định có liên quan [2].
3.5. Sử dụng kết cấu gỗ trong công trình phải có giải pháp phòng chống mối mọt. Yêu cầu thiết kế tuân theo quy định trong TCVN 7958: 2008 .
4. Yêu cầu về khu đất xây dựng và quy hoạch tổng mặt bằng
4.1. Khu đất xây dựng rạp phải bảo đảm:
- Tuân theo quy hoạch của thành phố, thị xã, thị trấn, thuận tiện cho khán giả đi lại và sử dụng phương tiện giao thông công cộng;
- Cách xa các nguồn gây ồn hoặc những nơi có môi trường ô nhiễm cao như: sân bay, nhà ga xe lửa, nhà máy hóa chất...;
- Có đủ diện tích để bố trí nhà các công trình hạ tầng, đường đi, cây xanh, chỗ để xe và đặt máy phát điện.
4.2. Rạp phải xây dựng cách đường đỏ ít nhất là 8 m, có sân để khán giảchờ trước khi vào xem,diện tích sân tính từ 0,15 m2 đến 0,20 m2 cho một khán giả.
4.3. Diện tích khu đất xây dựng phụ thuộc vào quy mô rạp và được quy định như sau:
- Từ 200 chỗ đến 600 chỗ: 0,2 ha đến 0,4 ha;
- Từ 600 chỗ đến 1 000 chỗ: 0,4 ha đến 0,6 ha.
CHÚ THÍCH:
1) Khi xây dựng rạp trong phạm vi công viên, khu cây xanh thì diện tích, diện tích khu đất có thể giảm 20 %.
2) Có thể để xe đạp, xe ôtô, xe máy ở bãi để xe công cộng ngoài khu đất của rạp.
3) Bảo đảm có đường cho xe và phương tiện chữa cháy tiếp cận công trình nhanh nhất khi có sự cố.
4) Tiêu chuẩn trên không áp dụng cho trường hợp rạp được bố trí trong một tổ hợp công trình dịch vụ công cộng.
5. Nội dung công trình và giải pháp thiết kế
5.1. Yêu cầu chung
5.1.1. Kích thước các bộ phận mặt bằng, không gian và kết cấu của rạp phải tuân theo các quy định của hệ mô đun thống nhất.
5.1.2. Rạp bao gồm các bộ phận:
a) Bộ phận khán giả:
- Phòng khán giả (kể cả sân khấu nhỏ, ban công);
- Phòng đợi (kể cả quầy giải khát);
- Tiền sảnh (kể cả bán vé, điện thoại, chỗ gửi tư trang);
- Khu vệ sinh của khán giả.
CHÚ THÍCH: Đối với các cụm rạp được xây dựng thành khu tổ hợp vui chơi giải trí hoặc đan xen trong các siêu thị, trung tâm thương mại thì cần tính đến mối liên hệ giữa các bộ phận công trình.
b) Bộ phận máy chiếu:
- Phòng máy chiếu (có chỗ cuộn sửa phim và máy chiếu dự phòng);
- Phòng thuyết minh;
- Phòng nghỉ cho nhân viên máy chiếu;
- Khu vệ sinh.
c) Bộ phận hành chính quản lý:
- Phòng trưởng rạp;
- Văn phòng, phòng khách;
- Phòng kế toán thủ quỹ;
- Phòng bảng điện;
- Phòng máy tính, in quảng cáo;
- Kho;
- Khu vệ sinh của nhân viên.
CHÚ THÍCH:
1) Khi rạp có hệ thống điều hòa không khí hoặc thông gió cơ khí thì thành phần và diện tích các phòng đặt thiết bị kỹ thuật được thiết kế theo báo cáo đầu tư xây dựng riêng.
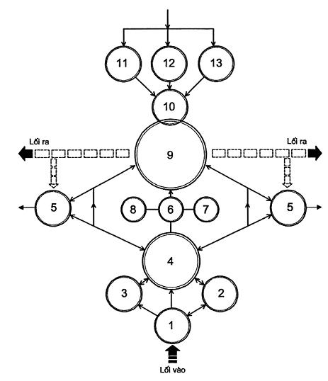
2) Sơ đồ bố trí dây chuyền hoạt động rạp chiếu phim tham khảo Phụ lục A.
5.2. Yêu cầu thiết kế các bộ phận công trình
5.2.1. Phòng khán giả
5.2.1.1. Diện tích phòng khán giả (kể cả sân khấu nhỏ, ban công, lối đi lại) tính 0,8 m2 đến 1,0 m2 cho 1 chỗ ngồi và khối tích từ 4,5 m3 đến 6,0 m3 cho 1 chỗ ngồi.
5.2.1.2. Các thông số kỹ thuật của phòng khán giả, màn ảnh, điều kiện nhìn rõ và bố trí chỗ ngồi theoquy định trong Bảng 1 ở và xem Hình 1.
5.2.1.3. Độ dốc nền phòng khán giả và bậc của ban công phụ thuộc vào việc bố trí chỗ ngồi và tianhìn của khán giả, khi tính toán tham khảo phụ lục C.
Bảng 1 - Các thông số kỹ thuật phòng khán giả
Ký hiệu các thông số theo hình 1 | Ý nghĩa của thông số | Giá trị của thông số | Chú thích |
D | Chiều dài tính toán của phòng khán giả (từ màn ảnh đến ghế hàng cuối cùng trên trục gian khán giả), m |
| N: số chỗ ngồi. |
- Hình ô van | 1,3 | ||
- Hình chữ nhật | 1,1 | ||
- Hình thang | 0,95 | ||
M | Bán kính hình cầu giới hạn vùng khán giả ngồi | 0,92 | Tâm hình cầu nằm trên màn ảnh cách nhau một khoảng G. |
B | Chiều rộng có ích của màn ảnh cong (tính theo dây cung), m |
| Cho phép thay đổi chiều rộng đến: + 5 % và -10%, theo tiêu cự của ống kính máy chiếu |
BR BG BT | - Màn ảnh rộng, m - Màn ảnh giả rộng, m - Màn ảnh thường, m | 0,43 D 0,34 D 0,25 D |
|
H | Chiều cao cóích của màn ảnh, m |
| HR; HG; HT phải bằng nhau. Tâm hình ảnh của các loại phim chiếu phải trùng nhau. |
HR | - Màn ảnh rộng | MR: 2,39 | |
HG | - Màn ảnh giả rộng | MG: 1,85 | |
HT | - Màn ảnh thường | MT: 1,37 | |
R | Bán kính cong của màn ảnh, m | D | |
G | Khoảng cách từ màn ảnh đến chỗ tựa của hàng ghế đầu (theo trục của phòng), m: - Màn ảnh rộng, không nhỏ hơn - Màn ảnh thường hoặc giả rộng, không nhỏ hơn |
0,44 BT |
|
P | Khoảng cách chiếu phim từ tâm màn ảnh đến ống kính máy chiếu, m, không nhỏ hơn | 0,75 D |
|
j | Góc nghiêng trục quang học của máy chiếu so với pháp tuyến ở giữa tâm màn ảnh: |
|
|
jr | - Trên mặt phẳng nằm ngang,không lớn hơn | 9° |
|
| - Trên mặt phẳng đứng: |
|
|
jB | + Khi chiếu từ trên xuống, không lớn hơn | 9° |
|
jH | + Khi chiếu từ dưới lên, không lớn hơn | 3° |
|
a | Góc hợp bởi pháp tuyến tại tâm màn ảnh với đường giới hạn vùng bố trí khán giả. - Trong mặt phẳng nằmngang: |
|
|
+ Khi aB≤ 6°, không lớn hơn | 45° | ||
+ Khi aB> 6°, không lớnhơn | 40° | ||
| -Trong mặt phẳng thẳng đứng: |
|
|
aB | + Góc cao hơn pháp tuyến ở tâm màn ảnh, không lớn hơn | 30° | Đối với phòng khán giả có ban công và trong từng trường hợp cụ thể cho phép aH không vượt quá 2°. |
aH | + Góc thấp hơn pháp tuyến ở tâm màn ảnh trong rạp, không lớn hơn | 20° |
|
C | Độ nâng cấp tia nhìn của người ngồi hàng ghế sau so với người ngồi hàng ghế trước đến mép dưới của màn ảnh, m | 0,12 | Chiều cao tính toán từ sàn tới mắt của khán giả ngồi trên ghế 1,2 m C: Đường mặt cắt chỗ khán giả ngồi, xem phụ lục C |
I | Khoảng cách từ tia nhìn tới mép trên màn ảnh của khán giả ngồi hàng ghế cuối đến kết cấu nhô ra của ban công, không nhỏ hơn, m | 0,3 |
|
K | Khoảng cách từ tia chiếu phim đến bộ phận kết cấu nhô ra của phòng khán giả, không nhỏ hơn, m | 0,6 |
|
X | Khoảng cách từ phía dưới của tia chiếu phim đến sàn phòng khán giả, không nhỏ hơn, m | 1,9 |
|
C1 | Chiều cao gian khán giả phía trên ban công, không nhỏ hơn, m | 3,0 | Đo chiều cao thông thủyở hàng ghế cuối cùng |
C2 | Chiều cao gian khán giả phía dưới ban công, không nhỏ hơn, m | 3,0 | Đo chiều cao thông thủyở mép ban công |
E | Chiều sâu phần gian khán giả dưới ban công, không lớn hơn | 0,5 C1 |
|
T | Khoảng không gian phía sau màn ảnh (khoảng cách giữa màn ảnh và mặt phẳng cách âm của tường sau màn ảnh), m | Từ 1,2 đến 1,5 | Khi bố trí 1 loa phóng thanh ở sau màn ảnh cho phép giảm khoảng không gian sau màn ảnh từ 0,1 m đến 0,2 m. |
CHÚ THÍCH: 1) Trong trường hợp phòng khán giả đặt trong tòa nhà có sử dụng nhiều chức năng thì cho phép các thông số trên thay đổi, nhưng không được lớn hơn ± 20 %. 2) Cho phép thay đổi vùng hiện hình của màn ảnh theo chiều rộng đối với màn ảnh rộng, cả chiều rộng và chiều cao đối với màn ảnh cỡ rộng. | |||

a) Mặt cắt dọc phòng khán giả

b) Mặt bằng phòng khán giả
Hình 1 - Thông số phòng khán giả
5.2.1.4. Kích thước ghế ngồi trong phòng khán giả quy định:
- Chiều rộng ghế: từ 45 cm đến 50 cm (khoảng cách đường tim giữa hai chỗ tựa tay);
- Chiều sâu ghế: từ 45 cm đến 50 cm.
- Khoảng cách giữa hai hàng ghế: từ 0,90 m đến 1,05 m (khoảng cách giữa hai chỗ tựa lưng)
5.2.1.5. Số ghế ngồi liên tục trong một hàng không được lớn hơn quy định trong Bảng 2.
Bảng 2 - Số ghế tối đa trong một hàng liên tục
Bậc chịu lửa của rạp | Số ghế nhiều nhất trong 1 hàng, ghế | |
Một đầu có lối đi | Hai đầu có lối đi | |
Bậc I, II, III | 25 | 50 |
5.2.1.6. Khoảng cách và chiều rộng lối đi giữa hai hàng ghế được quy định trong Bảng 3.
Bảng 3 - Khoảng cách và chiều rộng lối đi giữa hai hàng ghế
Số ghế trong một hàng, | Khoảng cách nhỏ nhất giữa hai hàng ghế m | Chiều rộng lối đi giữa hai hàng ghế m | |
Một đầu có lối đi | Hai đầu có lối đi | ||
Đến 12 | Đến 25 | 0,80 | 0,40 |
Từ 13 đến 20 | Từ 26 đến 40 | 0,85 | từ 0,4 đến 0,45 |
Từ 21 đến 25 | Từ 41 đến 50 | 0,90 | 0,50 |
5.2.1.7. Ghế ngồi trong phòng khán giả gắn với nhau thành từng hàng và được cố định với nền.
5.2.1.8. Thiết kế âm thanh cho phòng khán giả phải xác định:
a) Hình dạng mặt bằng và mặt cắt hợp lý bằng phương pháp phân tích phản xạ âm ở các điểm khác nhau trong phòng.
b) Các điều kiện bảo đảm thời gian âm vang tốt nhất, chọn vật liệu hút âm và kết cấu hợp lý.
c) Các điều kiện bảo đảm cách âm cho phòng khán giả khỏi bị ảnh hưởng của tiếng ồn bên ngoài và những thiết bị kỹ thuật bên trong gây ra.
5.2.1.9. Thời gian âm vang tốt nhất cho phòng khán giả được xác định bằng biểu đồ trên Hình 2 vớihai tần số 125 Hz và 512 Hz cho phép sai số không lớn hơn ± 10 %.
CHÚ THÍCH: Lượng hút âm của phòng khán giả có thể xác định theo biểu đồ Hình 2 và các phương pháp tính toán ở Phụlục D của tiêu chuẩn này.
|
|
a- Dung sai cho phép đối với thời gian âm vang tốt nhất | b- Thời gian âm vang tốt nhất theo các định dạngâm thanh |
Hình 2- Thời gian âm vang tốt nhất theo thể tích phòng khán giả và định dạng hình ảnh
Hình 2 - Thể tích phòng khán giả (m³)
5.2.1.10. Khi thiết kế âm thanh cho phòng khán giả phải xác định các tia hình học của âm thanh phản xạ đầu tiên đến chậm so với âm thanh phát ra trực tiếp bằng mặt cắt dọc của phòng khán giả nếu trần phẳng và bằng mặt cắt ngang trong trường hợp trần cong.
5.2.1.11. Thời gian đến chậm của tia âm từ trực âm do loa đến các tia phản âm bậc một phải nhỏ hơn giới hạn nghe tách âm của thính giác nhỏ hơn hoặc bằng 50 ms.
5.2.1.12. Chênh lệch mức to nhỏ của âm thanh ở những điểm khác nhau trong phòng không được lớn hơn 6 dBA đến 8 dBA.
5.2.1.13. Hình dạng trần và bề mặt tường của phòng khán giả ở gần màn ảnh phải bảo đảm chuyển những âm thanh phản xạ hữu ích đầu tiên cho toàn bộ diện tích có khán giả ngồi, và được xác định bằng hình vẽ các tia phản xạ. Không được bố trí vật gì trước màn ảnh làm cản trở sóng âm phát ra.
5.2.1.14. Bố trí loa sau màn ảnh trong phòng khán giả phải bảo đảm ở độ cao từ 1/3 đến 2/3 chiều cao của màn ảnh.
5.2.2. Phòng đợi, tiền sảnh
5.2.2.1. Phòng đợi trong rạp phải bố trí liên hệ trực tiếp với phòng khán giả và tiền sảnh. Diện tích phòng đợi tính theo quy mô của rạp và được quy định trong Bảng 4.
Bảng 4 - Diện tích phòng đợi theo quy mô của rạp
Cấp công trình của rạp | Tiêu chuẩn diện tích cho 1 chỗ ngồi m2 |
- Cấpl | Từ 0,25 đến 0,30 |
- Cấp II | Từ 0,20 đến 0,25 |
5.2.2.2. Diện tích chỗ bán giải khát (kể cả chỗ rửa, nơi để hàng) phụ thuộc vào quy mô rạp và được quy định như sau:
a) Rạp dưới 600 chỗ: từ 24 m2 đến 32 m2;
b) Rạp trên 600 chỗ: từ 32 m2 đến 40 m2.
5.2.2.3. Tiền sảnh là nơi khán giả mua vé và xem giới thiệu quảng cáo phim. Diện tích tiền sảnh (kể cả chỗ bán vé, điện thoại công cộng, nơi gửi tư trang) được tính từ 0,30 m2 đến 0,45 m2 cho một chỗ ngồi.
CHÚ THÍCH: Rạp dưới 400 chỗ cho phép kết hợp phòng đợi với tiền sảnh, diện tích được tính theo:
- Rạp công trình cấp I: từ 0,30 m2/chỗ đến 0,45 m2/chỗ;
- Rạp công trình cấp II: từ 0,25 m2/chỗ đến 0,30 m2/chỗ.
5.2.2.4. Diện tích quy định cho một cửa bán vé là 1,5 m2. Số cửa bán vé phụ thuộc vào quy mô rạp:
- Dưới 600 chỗ: 2 cửa
- Từ 600 chỗ đến 1 000 chỗ: 3 cửa
5.2.2.5. Khoảng cách giữa các cửa bán vé (tính theo trục tim cửa) không nhỏ hơn 1,2 m. Chiều cao từ sàn chỗ đứng mua vé đến mép dưới cửa bán vé từ 1,00 m đến 1,10 m.
5.2.2.6. Diện tích chỗ gửi tư trang của khán giả tính theo quy mô rạp và được quy định từ 0,01 m2 cho một chỗ ngồi.
5.2.2.7. Buồng điện thoại công cộng trong tiền sảnh có diện tích từ 1,0 m2 đến 1,2 m2.
5.2.3. Khu vệ sinh khu vực khán giả
5.2.3.1. Khu vệ sinh của khán giả cần bố trí liên hệ thuận tiện với phòng đợi. Không cho phép khu vệ sinh mở cửa trực tiếp vào phòng khán giả.
5.2.3.2. Khu vệ sinh nam, nữ phải bố trí riêng biệt, có buồng đệm. Số lượng thiết bị vệ sinh cho khán giả theo quy định:
- 1 xí, 2 tiểu, 1 chậu rửa tay: cho 150 khán giả nam.
- 1 xí, 2 tiểu, 1 chậu rửa tay: cho 150 khán giả nữ.
CHÚ THÍCH:
1) Số khán giả được tính với 50% chỗ ngồi.
2) Ở những nơi chưa có hệ thống cấp thoát nước nên bố trí khu vệ sinh bên ngoài công trình.
5.2.4. Phòng đặt máy chiếu
5.2.4.1. Chỉ tiêu diện tích của các bộ phận máy chiếu phụ thuộc vào kiểu và số lượng máy, áp dụngtheo quy định trong Bảng 5. Phòng máy phải có kích thước tối thiểu 6 m x 3,6 m x2,5 m. Sơ đồ bố tríphòng máy chiếu tham khảo phụ lục B.
Bảng 5 - Chỉ tiêu diện tích các bộ phận trong phòng đặt máy chiếu
Tên phòng | Diện tích theo số lượng máy m2 | ||||||
Phim 70 (50) mm | phim 35 mm | Phim 35mm (trong phòng chiếu sử dụng đèn nung sáng) | Dùng cho phim 16 mm | ||||
3-4 | 2 | 3 | 2 | 2 | 2 | 1 | |
1-Phòng máy chiếu (kể cả chỗ đặt máy dự phòng) | 54 | 54 | 30 | 20 | 10 | 10 | 6 |
2- Phòng nghỉ của công nhân máy chiếu và phát thanh | 16 | 16 | 16 | 12 | 10 | 10 | 8 |
3- Phòng thuyết minh | 6 | 6 | 6 | 4 | - | - | - |
5.2.4.2. Kích thước bố trí thiết bị trong phòng máy theo quy định trong Bảng 6 (xem Hình 3).
Bảng 6 - Kích thước bố trí các thiết bị trong phòng đặt máy chiếu
Kích thước tính bằng mét
Ký hiệu của thông số | Ý nghĩa của thông số | Dùng cho phim35 mm | Dùng cho phim phim 16 mm |
a | Khoảng cách từ tường tới thiết bị: |
|
|
| - Có lối đi sau thiết bị | 1,5 | - |
| - Không có lối đi sau thiết bị | 0,1 | 0,1 |
b | Khoảng cách giữa các trục quang học của máy chiếu lân cận và từ trục quang học ngoài cùng phía phải của máy chiếu đến tường phải hoặc thiết bị | 0,15 | 1,2 |
c | Khoảng cách từ trục quang học ngoài cùng phía trái của máy chiếu đến tường phía trái hoặc thiết bị | 1,2 | 1,0 |
d | Khoảng cách từ máy chiếu đến tường sau hoặc thiết bị | 1,2 | 1,2 |
e | Khoảng cách từ tâm cửa máy chiếu đến tâm cửa quan sát | 0,5 | 0,5 |
g | Khoảng cách từ tường trước đến bộ phận nhô ra, hoặc thiết bị | 0,35 | 0,35 |
i | Khoảng cách từ tâm ống kính máy chiếu và cửa quan sát đến sàn phòng máy chiếu (aB = 0) | 1,25 | 1,25 |
k | Chiều cao thông thủy buồng máy chiếu (không nhỏ hơn) | 2,5 | 2,5 |
5.2.4.3. Phòng máy phải được bố trí ở phía chính diện với màn ảnh. Trong trường hợp phòng khán giả có ban công, phòng máy được bố trí dưới hoặc trên ban công theo trục chính của phòng khán giả. Tường ngăn cách giữa phòng máy và phòng khán giảphải được thiết kế cách âm.
5.2.4.4. Cửa sổ chiếu và cửa sổ quan sát phải đáp ứng các yêu cầu sau:
- Chất liệu của cửa sổ phòng chiếu phải là chất liệu không ảnh hưởng tới chất lượng ống kính hay chất lượng chiếu;
- Để tránh hiện tượng dội âm qua cửa sổ chiếu hoặc cửa sổ quan sát phải bố trí loa đặt lệch một góc từ 7° đến 10° và không gây ảnh hưởng đến chất lượng âm thanh;
- Kích thước cửa sổ chiếu và cửa sổ quan sát phải đảm bảo 0,4 m x 0,25 m để ánh sáng trong phòng chiếu không lọt ra ngoài phòng khán giả.
5.2.4.5. Cửa phòng máy chiếu phải mở ra ngoài. Kích thước cửa phòng phải bảo đảm không được nhỏ hơn 2,00 m x 0,85 m. Khi cao độ sàn phòng máy cao hơn cao độ sàn phòng khán giả, kích thước bậc thang vào phòng máy phải có chiều cao bậc không được lớn hơn 0,18 m chiều rộng bậc không được nhỏ hơn 0,28 m.

a) Mặt cắt

b) Mặt bằng
Hình 3. Phòng máy chiếu
5.2.4.6. Nội dung và số lượng thiết bị vệ sinh thiết kế cho bộ phận máy chiếu gồm:
- 1 xí;
- 1 tiểu;
- 1 chậu rửa tay;
- 1 tắm hương sen.
CHÚ THÍCH: Có thể thiết kế khu vệ sinh cho nam và nữ riêng nếu có nhu cầu sử dụng.
5.2.5. Bộ phận hành chính, quản lý rạp
5.2.5.1. Chỉ tiêu diện tích tối thiểu của các bộ phận hành chính, quản lý của rạp được tính theo quy định trong Bảng 7.
Bảng 7- Chỉ tiêu diện tích các bộ phận hành chính, quản lý của rạp
Tên phòng | Diện tích tính theo quy mô rạp m2 | |||
Từ 200 đến 400 chỗ | 600 chỗ | 800 chỗ | 1 000 chỗ | |
1. Phòng trưởng rạp | 12 | 12 | 16 | 16 |
2. Phòng làm việc kiêm tiếp khách | 16 | 16 | 24 | 24 |
3. Phòng kế toán thủ quỹ | 12 | 12 | 16 | 16 |
4. Phòng bảng điện | 8 | 10 | 12 | 16 |
5. Kho | 12 | 12 | 16 | 24 |
6. Phòng vẽ quảng cáo và xưởng mộc | 20 | 20 | 24 | 24 |
5.2.5.2.Nội dung và số lượng thiết bị vệ sinh thiết kế cho bộ phận hành chính quản lý của rạp gồm:
- 2 xí;
- 2 tiểu;
- 2 chậu rửa tay;
- 2 tắm hương sen.
Khu vệ sinh được thiết kế cho nam và nữ riêng.
6. Yêu cầu phòng cháy và chữa cháy
6.1. Lối vào và lối ra từ phòng khán giả phải được bố trí riêng biệt. Lối ra từ phòng khán giả không được thông qua phòng đợi. Từ ban công phải có lối ra riêng không được thông qua phòng khán giả.
6.2. Khoảng cách phòng cháy giữa các ngôi nhà đối với rạp phải tuân thủ những quy định trong Bảng 8 và các quy định về toàn cháy cho nhà và công trình [3].
Bảng 8- Khoảng cách phòng cháy giữa các ngôi nhà tương ứng với bậc chịu lửa
Bậc chịu lửa của rạp | Khoảng cách đến ngôi nhà có bậc chịu lửa m | |||
I và II | III | IV | V | |
- Bậc I và bậc II | 6 | 8 | 10 | 10 |
- Bậc III | 8 | 8 | 10 | 10 |
6.3. Từ phòng khán giả và ban công phải có ít nhất hai lối thoát nạn ra ngoài. Chiều rộng tổng cộng của các cửa đi vế thang hay lối đi trên đường thoát nạn được quy định như sau:
- Phòng khán giả có bậc chịu lửa I, II: tính 0,55 m cho 100 người;
- Phòng khán giả có bậc chịu lửa III: tính 0,80 m cho 100 người.
CHÚ THÍCH:
1) Chiều rộng nhỏ nhất của cửa đi của lối thoát nạn là 0,8 m. Chiều cao cửa đi, lối đi của đường thoát nạn không được nhỏ hơn 2 m.
2) Chiều rộng chiếu nghỉ của cầu thang không được nhỏ hơn chiều rộng vế thang.
6.4. Chiều rộng của lối đi, hành lang, cửa đi, vế thang trên đường thoát nạn quy định trongBảng 9
Bảng 9 - Chiều rộng lối đi, hành lang, cửa đi, vế thang trên đường thoát nạn
Loại lối đi | Chiều rộng m | |
Nhỏ nhất | Lớn nhất | |
1- Lối đi | 1 | Theo tính toán |
2- Hành lang | 1,4 | Theo tính toán |
3- Cửa đi | 0,8 | 2,4 |
4- Vế thang | 1,05 | 2,4 |
6.5. Không được phép thiết kế cầu thang xoáy ốc và bậc thang hình rẻ quạt trên đường thoát nạn. Không được thiết kế bậc trên lối đi và cửa ra vào phòng khán giả.
6.6. Cửa đi trên đường thoát nạn phải mở ra ngoài, không cho phép làm cửa đẩy ngang hay cửa quay trên đường thoát nạn.
6.7. Trường hợp rạp có chiều cao trên 10 m (tính từ mặt vỉa hè đến mép dưới máng nước) thì phải bố trí thang chữa cháy bằng sắt bên ngoài nhà, theo chu vi rạp cứ 150 m được bố trí một thang.
6.8. Xung quanh rạp phải thiết kế đường đi với chiều rộng không nhỏ hơn 4,0 m, trong trường hợp đường cụt phải bố trí chỗ quay xe để bảo đảm xe chữa cháy có thể hoạt động thuận tiện.
6.9. Khoảng cách tính từ chỗ ngồi xa nhất trong phòng khán giả đến lối thoát gần nhất phải tuân theo quy định trong TCVN 2622 :1995 .
6.10. Không được bố trí các kho nhiên liệu, chất dễ cháy phía dưới các phòng khán giả hoặc các phòng thường xuyên có đông người (từ 50 người trở lên).
6.11. Bậc chịu lửa của rạp theo cấp công trình được quy định trong Bảng 10
Bảng 10- Yêu cầu về bậc chịu lửa theo cấp công trình của rạp
Cấp công trình của rạp | Bậc chịu lửa của rạp |
- Cấpl | bậc I và bậc II |
- Cấp II | bậc II và bậc III |
6.12. Đối với rạp có bậc chịu lửa cấp III khi bố trí phòng khán giả và phòng đợi ở tầng 2, thì sàn của các phòng đó phải làm bằng vật liệu không cháy có giới hạn chịu lửa không dưới 1 h.
6.13. Khi tính kết cấu sàn của phòng máy chiếu phải tính với tải trọng của máy chiếu tĩnh tại, số lượng máy phụ thuộc vào quy mô rạp. Vật liệu kết cấu sàn của phòng máy chiếu phải có giới hạn chịu lửa ít nhất là 1 h.
7. Yêu cầu về thiết bị kỹ thuật và vệ sinh
7.1. Rạp phải xây dựng ở những nơi bảo đảm yêu cầu vệ sinh môi trường. Mức ồn cho phép trong phòng khán giả không lớn hơn 40 dBA.
7.2. Chất lượng âm thanh cần đảm bảo yêu cầu sau:
- 85 dB SPL cho các kênh phía trước (kênh trái (L), kênh trung tâm (C) và kênh (R)).
- 82 dB SPL cho các kênh Surround.
- 91 dBSPL cho kênh siêu trầm (kênh hiệu ứng tần số thấp).
7.3. Phòng khán giả, phòng máy chiếu phải bảo đảm thông gió và có biện pháp chống nóng.
7.4. Trang bị quạt máy, máy điều hòa nhiệt độ, các biện pháp thông gió cơ khí theo yêu cầu sử dụngvà mức độ tiện nghi đã được cấp có thẩm quyền phê duyệt trong Báo cáo đầu tư.
7.5. Khi thiết kế hệ thống thông gió và điều hòakhông khí cần có các giải pháp công nghệ, giải pháp kiến trúc và kết cấu một cách hợp lý nhằm đảm bảo yêu cầu vệ sinh, yêu cầu kỹ thuật.
7.6. Hệ thống thông gió, điều hòa không khí được lấy theo quy định trong TCVN 5687:2010 .
7.7. Phòng đặt các thiết bị thông gió, điều hòa không khí và máy nén của hệ thống lạnh không được đặt trực tiếp trên phòng khán giả.
7.8. Không được đặt hệ thống đường ống trong tường ngăn giữa phòng khán giả và phòng máy chiếu phim.
7.9. Phải thiết kế riêng biệt hệ thống hút và thải không khí cho phòng máy chiếu.
7.10. Đường ống thông gió, ống tiêu âm, tường của các phòng máy thông gió phải thiết kế bằng vậtliệu không cháy.
7.11. Hệ thống thông gió cần bảo đảm tiêu âm và cách âm.
7.12. Thiết kế hệ thống cấp thoát nước bên trong và bên ngoài nhà cho chữa cháy và sinh hoạt phải tuân theo những quy định có liên quan
CHÚ THÍCH: Ở các khu vực không có hệ thống cấp nước đô thị phải thiết kế bể chữa cháy dự trữ hoặc lợi dụng các hồ ao có sẵn ở xung quanh.
7.13. Khi thiết kế cấp nước phải tính theo quy mô rạp, tiêu chuẩn cấp nước cho khán giả tính từ 3 l/khán giả đến 5 l/khán giả.
8. Yêu cầu về chiếu sáng và thiết bị điện
8.1. Rạp phải được cấp điện từ lưới điện có điện áp 380 V/220 V trung tính nối đất trực tiếp. Được phép dùng điện áp 220 V/127 V đối với rạp có điện áp này từ trước.
CHÚ THÍCH: Trong trường hợp cần thiết cho phép rạp sử dụng máy phát điện riêng.
8.2. Điện cung cấp cho rạp lấy từ trạm biến thế hoặc trạm phát điện chạy bằng máy phát điện diezel đặt trong khu đất xây dựng rạp hay trong rạp phải được cách âm và tuân theo quy định về an toàn điện[4].
8.3. Khi chọn công suất, số lượng và chế độ làm việc của máy biến áp phải căn cứ vào tính toán phụ tải ngày đêm trong chế độ làm việc bình thường của tất cả các thiết bị tiêu thụ điện của rạp có tính đến dòng điện động cơ bơm nước chữa cháy.
8.4. Trạm biến áp, trạm phát điện không được đặt ởphía dưới các phòng có sức chứa từ 50 ngườitrở lên.
8.5. Điều khiển và phân phối điện trong rạp phải thực hiện ởbảng phân phối chính đặt ở trong phòngbảng điện. Bảng phân phối điện chiếu sáng không được đặt trong phòng khán giả.
CHÚ THÍCH:
1) Khi trạm biến áp đặt trong rạp thì có thể sử dụng bảng điện của trạm biến áp là bảng phân phối điện chính hoặc thiết bị đầu vào của rạp.
2) Cấp điện cho phòng máy chiếu, thiết bị thông hơi, máy bơm chữa cháy, chiếu sáng bên ngoài và chiếu sáng sự cố phải cóđường dây độc lập đấu vào các phân đoạn khác nhau của bảng phân phối chính và phải có thiết bị tự động đóng điện cho một động cơ bơm nước chữa cháy khi động cơ kia hỏng, và tự động cắt điện ở các đường dây cấp điện cho hệ thống thông gió và điều hòa nhiệt độ khi khởi động động cơ bơm nước chữa cháy.
8.6. Được phép dùng điện áp trên 380 V để cấp điện cho các động cơ bơm nước chữa cháy cócôngsuất lớn và các thiết bị điều hòa nhiệt độ.
8.7. Thiết bị điện của rạp được chia thành các nhóm sau:
- Thiết bị điều hòa không khí;
- Chữa cháy;
- Thiết bị kỹ thuật của phòng máy chiếu (kỹ thuật điện, kỹ thuật âm thanh);
- Chiếu sáng;
- Các thiết bị điện lực khác.
8.8. Hệ thống điều khiển và bảo vệ từng nhóm cầu dao, cầu chì... phải bố tríở phòng bảng điện của rạp.
8.9. Chiếu sáng cho phòng khán giả được phép dùng đèn nung sáng, kể cả đèn halogen nung sáng và đèn huỳnh quang, cần dùng chiếu sáng phản xạ.
8.10. Chiếu sáng và làm tối phòng khán giả phải dần dần, bảo đảm không làm lóa mắt khán giả. Thiết bị điều khiển chiếu sáng cần đặt tập trung trong phòng bảng điện.
8.11. Cho phép thiết kế chiếu sáng tự nhiên cho phòng khán giả qua cửa mái, lỗ lấy ánh sáng ở vị trí cao của phòng khán giả nhưng không được phép bố trí cửa sổ ở phía màn ảnh.
8.12. Độ rọi chiếu sáng trong các phòng của rạp không được nhỏ hơn độ rọi quy định trong Bảng 11.
Bảng 11 - Độ rọi chiếu sáng trong các phòng
Tên phòng | Mặt phẳng, độ cao cách mặt sàn m | Độ rọi nhỏ nhất lux | |
Đèn huỳnh quang | Đèn nung sáng | ||
1. Tiền sảnh, phòng đợi | Sàn | 100 | 50 |
2. Phòng giải khát | Ngang - 0,8 | 100 | 50 |
3. Phòng khán giả + Trên 600 chỗ |
Ngang - 0,8 |
75 |
50 |
+ Dưới 600 chỗ | Ngang - 0,8 | - | 30 |
+ Hành lang, lối đi | Chiếu nghỉ và các bậc thang | 75 | 30 |
4. Cầu thang | Chiếu nghỉ và các bậc thang | 75 | 30 |
5. Khu vệ sinh | Sàn | 75 | 50 |
6. Phòng máy chiếu, thiết bị điều khiển ánh sáng (*) | Ngang - 0,8 | 75 | 50 |
7. Buồng cuộn phim(*) | Ngang - 0,8 | 100 | 75 |
8. Phòng nghỉ của nhân viên máy chiếu | Ngang - 0,8 | 75 | 30 |
9. Phòng thuyết minh(*) | Ngang - 0,8 | 75 | 50 |
10. Phòng trưởng rạp | Ngang - 0,8 | 100 | 50 |
11. Văn phòng, phòng khách | Ngang - 0,8 | 100 | 50 |
12. Phòng kế toán thủ quỹ | Ngang - 0,8 | 100 | 50 |
13. Phòng bảng điện | Ngang - 0,8 | 75 | 50 |
14. Kho | Ngang - 0,8 | - | 30 |
CHÚ THÍCH: 1) Đối với các loại phòng có ký hiệu (*) cần bố tríổ cắm để bổ sung ánh sáng tại chỗ (cục bộ). 2) Khi thiết kế chiếu sáng phòng đợi, phòng giải khát, ngoài việc bảo đảm độ rọi nhỏ nhất quy định trong Bảng 11 cần đánh giá chất lượng chiếu sáng của các phòng theo độ rọi và chỉ số chói lóa mất tiện nghi M quy định trong TCXD 16: 1986 . 3) Cần dùng đèn có kính bảo vệ đặt trong các kho có các dụng cụ phông màn đồ gỗ và phòng máy chiếu. 4) Độ rọi nhỏ nhất trên mặt phẳng làm việc do các đèn chiếu sáng sự cố tạo ra không được nhỏ hơn 50 % trị số độ rọi chiếu sáng làm việc quy định trong Bảng 11 nhưng không được nhỏ hơn 2 lux ở trong nhà và 1 lux ở ngoài nhà. | |||
8.13. Cung cấp điện cho hệ thống chiếu sáng sự cố cần bảo đảm những yêu cầu sau:
a) Chiếu sáng chỉ dẫn lối ra trên đường phân tán lấy từ hệ thống điện xoay chiều điện áp 42 V. Khi có sự cố mất điện làm việc cần được đóng tự động vào nguồn điện 1 chiều dự phòng.
b) Chiếu sáng sự cố để tiếp tục làm việc cần tự động đóng vào nguồn điện dự phòng.
c) Ngoài công tắc tự động của hệ thống chiếu sáng sự cố cần có công tắc đóng hãm bằng tay.
d) Không cho phép đặt ổ cắm điện trên đường dây của hệ thống chiếu sáng sự cố.
8.14. Cung cấp điện cho hệ thống chiếu sáng sự cố cần dùng bộ ắc quy có điện áp không lớn hơn 36 V và có dung lượng bảo đảm cho hệ thống chiếu sáng sự cố hoạt động trong 1h. Nếu có luận chứng kinh tế kỹ thuật xác đáng thì được dùng điện áp lớn hơn 36 V.
CHÚ THÍCH: Nếu dùng máy phát điện thay ắc quy phải có biến áp hạ thế từ 220 V hoặc 110 V của máy phát điện chuyền sáng 30 V đến 36 V.
8.15. Phải thiết kế chiếu sáng để phân tán người ở phòng khán giả. Trị số độ rọi nhỏ nhất trên mặt nền (hoặc sàn) các lối đi bậc thang v.v... không được nhỏ hơn 1 lux ở trong nhà và 2 lux ở ngoài nhà.
8.16. Chiếu sáng sự cố và chiếu sáng phân tán người chỉ dùng đèn sợi đốt, tuyệt đối không được dùng đèn huỳnh quang, đèn thủy ngân cao áp, đèn halogen v.v...
8.17. Mạng điện của hệ thống chiếu sáng sự cố, hệ thống chiếu sáng để phân tán người và phải mắc vào nguồn điện riêng, không được mất điện trong bất kỳ tình huống nào.
8.18. Đèn chiếu sáng sự cố trong các phòng có thể dùng để chiếu sáng phân tán người.
8.19. Phía trên các cửa ra, cửa phòng khán giả, tại đầu hành lang, cầu thang hay chỗ rẽ, phải có đèn báo hiệu chỉ dẫn lối thoát khi có sự cố. Những đèn chiếu sáng này phải mắc vào mạng điện chiếu sáng sự cố và có ký hiệu riêng.
8.20. Đèn chiếu sáng sự cố và đèn chiếu sáng để phân tán người phải khác với đèn chiếu sáng làm việc về kích thước, chủng loại hoặc dấu hiệu riêng trên đèn.
8.21. Phải thiết kế chiếu sáng bảo vệ dọc theo ranh giới của rạp.
Trị số độ rọi để chiếu sáng bảo vệ ở mặt phẳng nằm ngang sát mặt đất hoặc ở một phía của mặt phẳng thẳng đứng cách mặt đất 0,5 m, không được nhỏ hơn 1,0 lux.
8.22. Bố trí mạng điện phải bảo đảm các yêu cầu sau:
a) Trong phòng khán giả và phòng máy chiếu đường dây dẫn điện phải đặt ngầm hay đặt trongđường rãnh kín che bằng vật liệu không cháy.
b) Không cho phép đặt đường dây dẫn điện sử dụng cho phòng khác đi qua phòng khán giả và phòng máy chiếu.
c) Phải tách riêng đường dây chiếu sáng làm việc với các đường dây chiếu sáng sự cố và chiếu sáng để phân tán người.
8.23. Cần phải nối đất vỏ và các kết cấu bằng kim loại của thiết bị kỹ thuật điện (máy chiếu, máy tăngâm v.v...) nối đất lắp lại dây trung tính ngang trên máy chiếu.
Điện áp cung cấp cho máy tăng âm phải ổn định. Cho phép chênh lệch so với quy định không lớn hơn ± 5 %.
8.24. Thiết kế hệ thống chống sét cho rạp phải tuân theo các quy định trong TCVN 9385:2012 .
8.25. Phải thiết kế hệ thống liên lạc (điện thoại, truyền thanh...) giữa phòng máy chiếu với phòng khán giả.
9. Yêu cầu về công tác hoàn thiện
9.1. Sàn của rạp phải tuân theo các điều kiện sau:
a) Đối với phòng khán giả phải chống trượt và quét dọn dễ dàng.
b) Trong phòng máy chiếu và buồng cuộn, sửa phim thì mặt tường và mặt sàn phải lát và ốp bằng vật liệu ít đóng bụi và dễ quét dọn, mặt sàn phải làm bằng vật liệu không cháy.
9.2. Tường và sàn trong khu vệ sinh phải có lớp chống thấm (chiều cao lớp chống thấm của tầng tính từ mặt nền hoặc sàn):
- Phòng vệ sinh: từ 0,9 m đến 1,20 m;
- Phòng tắm: 1,5 m.
9.3. Cánh cửa ra vào phòng khán giả bảo đảm cách âm, ở khe cửa phải có đệm mềm.
9.4. Công tác hoàn thiện ngôi nhà gồm các công việc: sơn, lát, trát, ốp, v.v.. phải đáp ứng yêu cầu kỹ thuật, mỹ thuật và sử dụng, cần kết hợp đồng bộ trang trí nội, ngoại thất, đường xá, cây cảnh, sân vườn...
Phụ lục A
(Tham khảo)
Sơ đồ dây chuyền hoạt động rạp chiếu phim

CHÚ DẪN:
1- Tiền sảnh | 2- Hành chính, quản lý | 3- Giải khát | 4-Phòng đợi |
5- Phòng vệ sinh khángiả, gửi tư trang | 6- Phòng máy chiếu, cuộnsửa phim, thuyết minh | 7- Phòng kỹ thuậtđiện | 8- Phòng nghỉ của côngnhân máy chiếu |
9- Phòng khán giả | 10- Bục, màn ảnh | 11- Phòng điện | 12- Phòng nghệ thuật, kỹthuật sân khấu |
13- Các phòng phục vụ, kho, vẽ quảng cáo |
| ||
Hình A.1- Sơ đồ dây chuyền rạp chiếu phim
Phụ lục B
(Tham khảo)
Bố trí phòng máy chiếu phim

Hình B.1 - Mặt bằng khu máy chiếu phim

CHÚ DẪN:
1- Ống thoát khí
2- Quạt đẩy khí thải
Hình B.2- Mặt cắt khu máy chiếu phim
Phụ lục C
(Tham khảo)
Tính toán độ dốc nền phòng khán giả
C.1. Quy định chung
C.1.1. Khi thiết kế mặt cắt dọc phòng khán giả rạp chiếu bóng phải tuân theo các chỉ tiêu của các thông số kỹ thuật đã được quy định trong 5.2.1.2 và Bảng 1 của tiêu chuẩn này.
C.1.2. Các chỉ tiêu tính toán để tính độ dốc nền phòng khán giả tham khảo Hình C.1và quy định trong Bảng C.1.

CHÚ DẪN:
C: Độ nâng cao tia nhìn
R: Độ nâng cao hàng ghế
Hp: Độ nâng cao điểm thiết kế "p" so với mặt nền.
Y1: Khoảng cách chênh lệch giữa điểm quan sát thiết kế p với độ cao mặt khán giả ngồi hàng ghế đầu.
a: Góc hợp bởi tia nhìn tới tâm màn ảnh và đường thẳng song song với mặt nền kể từ mắt khán giả ngồihàng ghế đầu cùng nằm trong pháp tuyến.
d: Khoảng cách giữa hai hàng ghế
X1: Khoảng cách từ màn ảnh tới hàng ghế đầu.
Hình C.1- Sơ đồ minh họa độ dốc trong phòng khán giả
Bảng C.1. Các chỉ tiêu tính toán độ dốc nền phòng khán giả
Ký hiệu các thông số theo Hình B.1 | Rạp xây dựng mới m | Rạp xây dựng cải tạo m |
C | từ 0,12đến 0,15 | từ 0,08 đến 0,15 |
Hp | từ 1,20 đến 1,06 | từ 1,20 đến 2,00 |
Y1 | từ 0,00 đến 0,40 | từ 0,00 đến 0,8 |
a cho phép | ≤25° | ≤28° |
C.2. Phương pháp tính toán độ dốc của mặt cắt dọc nền phòng khán giả
C.2.1. Mặt cắt dọc nền phòng khán giả là mặt phẳng nằm ngang (xem Hình C.2) sử dụng nhiều chức năng có kết hợp chiếu phim, khi thiết kế phải bảo đảm độ nâng cao tia nhìn của hàng ghế cuối là:
(C.1)

CHÚ DẪN:
1) E: Là khoảng cách từ màn ảnh tới hàng ghếcuối, m.
2) Độ nâng cao tia nhìn càng xa màn ảnh càng giảm dần (C1 > C2 > C3 > ... > Cn-1)
Hình C.2 - Sơ đồ minh họa mặt cắt dọc nền phòng khán giả
C.2.2. Mặt cắt dọc nền phòng khán giả là mặt phẳng nghiêng (xem hình C.3). Độ nâng cao tia nhìn giảm dần từ hàng ghế đầu đến hàng ghế cuối, khi thiết kế phải xác định độ nâng cao tia nhìn của hàng ghế đầu "C1" và hàng ghế cuối "Cn-1" bằng công thức:
(C.2)
(C.3)
Độ cao yn của hàng ghế cuối được xác định bằng công thức:
(C.4)
CHÚ THÍCH:
1) R: là hằng số không đổi, được xác định bằng công thức:
(C.5)
2) Trong các công thức trên giá trị của y1 mang giá trị âm (-) khi độ cao mắt khán giả ngồi hàng ghế đầu nằm phía dưới điểm quan sát "P".

C.2.3. Mặt cắt dọc nền phòng khán giả có độ dốc cong theo đồ thị của hàm số logarit (xem Hình C.4)
C.2.3.1. Tính độ dốc nền phòng khán giả bằng phương pháp xác định hàm số logarit. Độ nâng cao hàng ghế (R) tăng dần từ hàng ghế đầu đến hàng ghế cuối, giá trị "Ri" ở vị trí bất kỳ Xi) được xác định bằng công thức:
(C.6)

Độ cao mắt khán giả (Yi) so với điểm quan sát (p) ở vị trí bất kỳ (Xi) được xác định bằng công thức:
(C.7)
CHÚ THÍCH:
1) Trong các công thức trên giá trị của "Y1" mang giá trị âm khi độ cao mắt khán giả nằm phía dưới điểm quan sát "P".
2) C: là một hằng số cho trước thỏa mãn điều kiện nhìn rõ của mọi vị trí ngồi, trong trường hợp độ cao mắt khán giả "Y1" ở hàng ghế cuối cho trước thì của độ nâng cao tia nhìn (C) của mọi hàng ghế được xác định bằng công thức:
(C.8)
C.2.3.2. Tính độ dốc nền phòng khán giả áp dụng phương pháp toán học đơn giản xác định giá trị Y1,Y2,...Yncủa mọi hàng ghế từ hàng ghế đầu đến hàng ghế cuối bằng công thức:
(C.9)
(C.10)
(C.11)
…
(C.12)
Đường cong với tất cả các vị trí của y là đường cong của hàm số logarit cách mặt nền phòng khán giả 1,20 m (xem Hình C.5).

Hình C.5 - Đường cong của hàm số logarit
C.2.4. Mặt cắt dọc nền phòng khán giả gồm nhiều đoạn thẳng gấp khúc theo đường cong của hàm số logarit. Khi thiết kế áp dụng kết hợp hai phương pháp tính toán nêu ởC.2.2 và C.2.3 trong phụ lục này.
CHÚ THÍCH: Trong từng đoạn giá trị của"R" là một hằng số không đổi, giá trị của "C" giảm dần. Trên toàn bộ mặt cắt giá trịcủa"R" tăng dần, giá trị của "C" là một hằng số không đổi.
C.2.5. Dựng mặt cắt dọc nền phòng khán giả có đường cong của hàm số lôgarit bằng phương pháp họa đồ gồm các bước sau: (xem Hình C.6)
- Xác định vị trí của điểm quan sát thiết kế "P";
- Xác định vị trí hàng ghế đầu (X1) và vị trí mắt nhìn của khán giả ngồi hàng ghế đầu độ cao 1,2 m so với mặt nền.
- Xác định giá trị "C" độ nâng cao của tia nhìn và vị trí của “C" hàng ghế đầu.
- Xác định vị trí mắt nhìn của khán giả ngồi hàng ghế thứ 2 bằng cách kéo dài đoạn thẳng từ "P" quá điểm đầu trên "đoạn thẳng" "C"của hàng ghế đầu, điểm giao nhau của đoạn thẳng PC với đoạn thẳng kẻ thẳng đứng cách hàng ghế đầu một khoảng cách bằng "d" cho trước, đó chính là điểm nhìn của khán giả hàng ghế thứ 2, từ đó xác định đường "Y". Lặp lại phương pháp họa đồ trên thứ tự sẽ tìm được tất cả các giá trị của Y2, Y3... Yn.
CHÚ THÍCH: Khi áp dụng phương pháp họa đồ để thiết kế mặt cắt đọc nền khán giả, nhất thiết phải dựng trên tỉ lệ lớn để bảo đảm độ chính xác.

Hình C.6. Mặt cắt dọc nền phòng khán giả có đường cong của hàm số lôgarit
Phụ lục D
(Tham khảo)
Phương pháp tính toán lượng hút âm của phòng khán giả
D.1. Khi hệ số hút âm trung bình không quá 0,3 tính lượng hút âm của phòng khán giả theo công thức Sabin:
- Cho tần số thấp (dưới 1 000 Hz)
(D.1)
- Cho tần số cao (trên 1 000 Hz)
(D.2)
Trong đó:
A - Lượng hút âm của phòng khán giả, tính theo công thức Sabin, (m2)
n - Hệ số xét đến lượng hút âm của không khí, m-1;
V - Thể tích bên trong phòng khán giả, m3;
Th - Thời gian âm vang hợp lý nhất (tính theo s).
Hệ số hút âm của một số vật liệu và kết cấu hút âm tham khảo bảng D.1.
Bảng D.1. Hệ số hút âm của một số vật liệu và kết cấu hút âm
Loại | Hệ số hút âm trong các dải tần số Hz | |||||
125 | 250 | 500 | 1 000 | 2 000 | 4 000 | |
1. Ghế tựa đệm da (ghế tựa mềm) | 0,18 | 0,23 | 0,28 | 0,28 | 0,28 | 0,23 |
2. Ghế tựa gỗ | 0,02 | 0,02 | 0,031 | 0,035 | 0,04 | 0,04 |
3. Khán giả ngồi trên ghế tựa đệm da | 0,24 | 0,28 | 0,32 | 0,40 | 0,43 | 0,41 |
4. Sàn páckê bằng asfan | 0,04 | 0,04 | 0,08 | 0,12 | 0,03 | 0,10 |
5. Sàn lát bằng tấm cao su 5 mm | 0,04 | 0,04 | 0,08 | 0,12 | 0,03 | 0,10 |
6. Sàn gỗ đặc, nhẵn (không có sườn kê) | 0,04 | 0,04 | 0,03 | 0,03 | 0,03 | 0,02 |
7. Sàn lát đá nhẵn | 0,01 | 0,01 | 0,01 | 0,02 | 0,02 | 0,02 |
8. Sàn bê tông nhẵn | 0,01 | 0,01 | 0,02 | 0,02 | 0,02 | 0,03 |
9. Bê tông | 0,01 | 0,01 | 0,02 | 0,02 | 0,02 | 0,03 |
10. Bê tông quét sơn | 0,01 | 0,01 | 0,01 | 0,02 | 0,02 | 0,02 |
11. Tường gạch trát vữa nhẵn | 0,01 | 0,01 | 0,02 | 0,02 | 0,03 | 0,03 |
12. Tường gỗ ốp (bằng gỗ dán cách tường 5 mm) | 0,18 | 0,26 | 0,24 | 0,10 | 0,10 | 0,10 |
13. Tấm gỗ dán 3 lớp đóng trên sườn gỗ cách nhau 50 cm x 50 cm, tầng không khí 5 cm | 0,206 | 0,737 | 0,214 | 0,104 | 0,028 | 0,117 |
14. Tấm gỗ dán 3 lớp tầng không khí, trong nhét bông khoáng 5kg/m2 | 0,367 | 0,571 | 0,279 | 0,118 | 0,093 | 0,116 |
15. Tấm gỗ dán 3 lớp đục lỗ đường kính d = 5 mm khoảng cách các lỗ 40 mm tầng không khí 100 mm không nhét vật liệu hút ẩm | 0,037 | 0,535 | 0,299 | 0,085 | 0,108 | 0,189 |
16. Mặt tường trát vữa phẳng quét sơn xù xì to | 0,04 | 0,04 | 0,07 | 0,024 | 0,09 | 0,05 |
17. Tẩm gỗ dán đục lỗ d = 5 mm, khoảng cách lỗ D = 40 m tầng không khí 100 mm có nhét vải và bông khoáng chất 8 kg/ m2 dày 5 mm ép chặt vào bản gỗ dán | 0,673 | 0,731 | 0,057 | 0,287 | 0,191 | 0,166 |
18. Tấm gỗ dán đục lỗ d= 5 mm; D =13 mm L = 50 m tầng không khí | 0,173 | 0,428 | 0,950 | 0,398 | 0,826 | 0,640 |
19. Nan gỗ trát vữa 1,6 cm nhẵn | 0,035 | 0,033 | 0,031 | 0,039 | 0,023 | 0,041 |
20. Tấm sợi gỗ ép gắn trát tường (dày 2,6 cm) | 0,04 | 0,05 | 0,08 | 0,31 | 0,42 | 0,36 |
21. Tấm rơm ép dày 1,8 cm gắn sát tường | 0,15 | 0,22 | 0,28 | 0,33 | 0,51 | 0,53 |
22. Tấm bã mía ép dày 1,5 cm | 0,07 | 0,20 | 0,45 | 0,44 | 0,54 | 0,58 |
23. Kính | 0,04 | 0,04 | 0,03 | 0,03 | 0,02 | 0,02 |
24. Rèm nặng treo cách tường 9 cm | 0,06 | 0,10 | 0,38 | 0,63 | 0,70 | 0,73 |
25. Mền nhung (0,77 kg/m2) | 0,05 | 0,12 | 0,35 | 0,45 | 0,35 | 0,45 |
26. Rèm vải (0,5 kg/m2) treo sát tường | 0,04 | 0,07 | 0,13 | 0,22 | 0,32 | 0,35 |
27. Thảm lông dày 5 cm | 0,04 | 0,04 | 0,15 | 0,24 | 0,42 | 0,60 |
28. Thảm dày phủ trên lối đi | 0,08 | - | 0,20 | - | 0,25 | - |
29. Thảm 10 mm phủ trên bê tông | 0,09 | 0,12 | 0,21 | - | - | - |
30. Cửa sổ mở hoàn toàn | - | - | - | 1,0 | - | - |
31. Miệng ban công | - | - | 0,25 | -0,08 | - | - |
32. Miệng sân khấu | - | - | 0,25 | -0,40 | - | - |
33. Lỗ thông gió và lỗ đèn trong nhét bông khoáng 5 kg/m2 | - | - | 0,10 | -0,50 | - | - |
THƯ MỤC TÀI LIỆU THAM KHẢO
[1]QCVN 03: 2009/BXD- Quy chuẩn kỹ thuật quốc gia về phân loại, phân cấp công trình xây dựng dân dụng, công nghiệp và hạ tầng kỹ thuật đô thị.
[2]TCXDVN 264 : 20021), Nhà và công trình - Nguyên tắc cơ bản để xây dựng công trình đảm bảo người tàn tật tiếp cận sử dụng.
[3] QCVN 01: 2008/BCT- Quy chuẩn kỹ thuật quốc gia về an toàn điện; QCVN QTĐ 08: 2010/BCT- Quy chuẩn kỹ thuật điện hạ áp.
[4] QCVN 06: 2009/BXD- Quy chuẩn kỹ thuật quốc gia về an toàn cháy cho nhà và công trình.
MỤC LỤC
1. Phạm vi áp dụng
2. Tài liệu viện dẫn
3. Quy định chung
4. Yêu cầu về khu đất xây dựng và quy hoạch tổng mặt bằng
5. Nội dung công trình và giải pháp thiết kế
5.1. Yêu cầu chung
5.2. Yêu cầu thiết kế các bộ phận công trình
6. Yêu cầu phòng cháy và chữa cháy
7. Yêu cầu về thiết bịkỹ thuật và vệ sinh
8. Yêu cầu về chiếu sáng và thiết bị điện
9. Yêu cầu về công tác hoàn thiện
Phụ lục
TCVN sắp ban hành

