Nội dung toàn văn Tiêu chuẩn Việt Nam TCVN 7246:2003 về lò đốt chất thải rắn y tế - phương pháp xác định nồng độ lưu huỳnh dioxit (SO2) trong khí thải do Bộ Khoa học và Công nghệ ban hành
TIÊU CHUẨN VIỆT NAM
TCVN 7246 : 2003
LÒ
ĐỐT CHẤT THẢI RẮN Y TẾ - PHƯƠNG PHÁP XÁC ĐỊNH NỒNG ĐỘ LƯU HUỲNH DIOXIT (SO2)
TRONG KHÍ THẢI
Health care solid waste incinerator – Determination method of sunfur
dioxides (SO2) concentration in fluegas
Lời nói đầu
TCVN 7246 : 2003 do Tiểu Ban kĩ thuật Tiêu chuẩn TCVN / TC 146/SC2 "Các phương pháp phân tích thông số ô nhiễm trong khí thải Lò đốt chất thải rắn y tế" biên soạn, Tổng cục Tiêu chuẩn Đo lường Chất lượng đề nghị, Bộ Khoa học và Công nghệ ban hành.
LÒ ĐỐT CHẤT THẢI RẮN Y TẾ - PHƯƠNG PHÁP XÁC ĐỊNH NỒNG ĐỘ LƯU HUỲNH DIOXIT (SO2) TRONG KHÍ THẢI
Health care solid waste incinerators - Determination method of sulfur dioxide (SO2) concentration in fluegas
1 Phạm vi áp dụng
Tiêu chuẩn này quy định phương pháp xác định SO2 trong khí ống khói lò đốt chất thải rắn y tế, quy về điều kiện nhiệt độ và áp suất tiêu chuẩn.
Chú thích: Nhiệt độ và áp suất tiêu chuẩn là nhiệt độ 273 K và áp suất 101,3 kPa.
Phương pháp này sử dụng hydro peroxyt/bari perclorat/thorin để xác định nồng độ khối lượng lưu huỳnh dioxyt trong khí ống khói lò đốt chất thải rắn y tế với lượng không đáng kể của lưu huỳnh trioxyt và axit sunfuaric. Phương pháp này áp dụng cho nồng độ lưu huỳnh dioxyt tối thiểu là 30 mg/m3.
Chất cản trở
- Lưu huỳnh trioxyt (SO3): nếu nồng độ khối lượng SO3 trong khí thải lớn trên 5 lần nồng độ khối lượng SO2 thì cản trở đến phép xác định.
- Các sunfat dễ bay hơi: trong điều kiện lấy mẫu, nếu tạo thành các ion sunfat trong dung dịch hấp thụ thì phương pháp xác định này có thể bị cản trở.
- Trong trường hợp đặc biệt (nhiệt độ khí ống khói rất cao) thì các sunfat dễ bay hơi và muối dễ bay hơi của cation kim loại đa hoá trị có thể cản trở phép xác định do tạo phức với chỉ thị thorin, có thể dùng nhựa trao đổi ion và bộ lọc bụi để loại bỏ các cation này.
- Bộ lọc bụi cũng loai bỏ được photphat là yếu tố gây cản trở đến phép xác định do tạo thành bari sunfat kết tủa.
- Các anion: các anion bị hấp thụ bởi dung dịch hấp thụ và tạo thành các muối dễ tan với các ion bari ở pH = 3,5, do đó cản trở đến phép xác định.
Chú thích: Sự cản trở do các hỗn hợp clo và flo vô cơ ở dạng khí và các oxit bền thường xảy ra trong khí ống khói.
- Nồng độ rất cao của amoniac và hydro sunfua có thể gây cản trở. Điều chỉnh pH của dung dịch hấp thụ thấp hơn 3,5 hoặc cao hơn 9,8 thì sẽ loại bỏ được cản trở này
2 Tiêu chuẩn viện dẫn
TCVN 4851 : 1989 (ISO 3696 : 1987), Nước dùng để phân tích trong phòng thí nghiệm. Yêu cầu kỹ thuật và phương pháp thử.
TCVN 7242: 2003 Lò đốt chất thải rắn y tế - Phương pháp xác định nồng độ cacbon monoxit (CO) trong khí thải.
3 Nguyên tắc
Lưu huỳnh dioxit có trong khí ống khói sẽ được hấp thụ khi đi qua dung dịch hấp thụ hydro peroxyt trong một khoảng thời gian nhất định sẽ tạo thành dung dịch axit sunfuric.
Điều chỉnh độ pH của dung dịch đạt tới 3,5 bằng dung dịch natri hydroxyt hoặc dung dịch axit percloric. Xác định nồng độ các ion sunfat trong dung dịch mẫu đã xử lý bằng cách chuẩn độ với dung dịch bari perclorat khi dùng thorin làm chất chỉ thị.
4 Thuốc thử
Trong phân tích, chỉ sử dụng thuốc thử có độ tinh khiết được thừa nhận, nước cất hoặc nước đã loại khoáng hoặc nước có độ tinh khiết tương đương theo TCVN 4851: 1989 (ISO 3696 : 1987), không có SOx có độ dẫn nhỏ hơn 0,1 mS/m.
Cảnh báo – Dùng các thuốc thử tuân theo các quy định thích hợp về an toàn sức khoẻ.
4.1 Propan-2-ol (CH3 – CHOH – CH3)
4.2 Dung dịch hấp thụ (H2O2 từ 27 % đến 30 %)
Đong 100 ml dung dịch hydro peroxyt (H2O2) 27 % đến 30 % (m/m) vào một bình định mức dung tích 1000 ml. Thêm nước đến vạch. Lắc đều. Chuẩn bị dung dịch để dùng trong một ngày.
4.3 Dung dịch tiêu chuẩn bari perclorat [Ba(ClO4)2] 0,005 mol/l
Hoà tan 1,7 g bari perclorat khan [Ba(ClO4)2] vào trong khoảng 200 ml nước trong một bình định mức dung tích 1000 ml. Thêm propan 2 – ol (4.1) đến vạch. Lắc đều.
Dung dịch này phải được chuẩn hoá chính xác bằng cách chuẩn độ với dung dịch axit sunfuaric 0,005 mol/l.
1 ml dung dịch bari perclorat 0,005 mol/l tương đương với khối lượng 0,32033 mg lưu huỳnh dioxyt.
4.4 Dung dịch tiêu chuẩn natri hydroxyt (NaOH) 0,1 mol/l
Cân 4,0 g natri hydroxyt khan, chuyển vào bình định mức dung tích 1000 ml. Hoà tan trong khoảng 300 ml nước rồi định mức đến vạch bằng nước. Lắc đều.
4.5 Dung dịch tiêu chuẩn axit percloric (HClO4) 0,1 mol/l
Đong 4,3 ml dung dịch axit percloric (HClO4) 72 % (m/m) chuyển vào bình định mức dung tích 500 ml . Thêm nước đến vạch. Lắc đều.
4.6 Dung dịch thorin 2 g/l
Hoà tan 2 g thorin dinatri 4 - (2 arsonophenyl) – azo) – 3 hydroxy – 2,7 naphtalen – disunfonic) bằng nước trong một bình định mức 1000 ml. Thêm nước đến vạch. Lắc đều.
Bảo quản dung dịch này trong chai thuỷ tinh hoặc polyetylen
5 Thiết bị, dụng cụ
Trong phân tích, sử dụng các thiết bị dụng cụ thông thường trong phòng thí nghiệm và các thiết bị dụng cụ sau:
5.1 Đầu dò lấy mẫu
ống thuỷ tinh bosilicat hoặc thuỷ tinh thạch anh, một đầu nối nhám hình cầu, có chiều dài thích hợp để tới được các điểm đo trong mặt phẳng đo của ống khói và được bọc một lớp vỏ tạo nhiệt có khả năng tạo ra nhiệt độ tối thiểu là 200 oC.
Chú thích:
1. Lớp vỏ tạo nhiệt này đồng thời đóng vai trò bảo vệ cho ống lấy mẫu khí, vì vậy ống lấy mẫu khí luôn luôn luôn luôn được bọc bởi lớp vỏ tạo nhiệt;
2. Một van ngắt được đặt trước bộ hấp thụ thứ nhất là cần thiết để ngăn ngừa sự thất thoát các tác nhân phản ứng khi lấy mẫu khí ống khói ở các điều kiện lọc hút.
5.2 Bộ lọc bụi
ống thuỷ tinh bosilicat làm bằng silic dioxyt có các đầu nối nhám hình cầu. Phần thân ống được nhồi đầy sợi thạch anh tinh khiết. Hinh 1 minh hoạ một bộ lọc bụi thích hợp.
Kích thước tính bằng milimét

1 Bông thạch anh, khoảng 0,5 g đến 0,8 g, nhồi đầy
2 Tấm đục lỗ hoặc bộ lọc bằng gốm.
Hình 1 - Thí dụ về bộ lọc bụi lắp ngoài ống dẫn khí thải
5.3 Bình hấp thụ
Bình hấp thụ kiểu Drechsel có dung tích 100 ml hoặc 250 ml (xem bảng 1) được cắm một ống có màng xốp (xem hình 2); độ xốp của màng phải đủ nhỏ để có thể đạt được hiệu suất hấp thụ tối thiểu là 95 %. Các màng xốp có đường kính lỗ thích hợp từ 40 àm đến 90 μm.
Hiệu suất hấp thụ của mỗi bình riêng biệt cần được kiểm tra hai lần một năm như quy định ở 7.1
Chú thích – Có thể dùng các bình hấp thụ kiểu va đập (impinger, xem hình 3) nếu đạt được hiệu suất hấp thụ tối thiểu là 95 %.
5.4 Vỏ tạo nhiệt: vỏ này có khả năng tạo ra nhiệt độ thấp nhất là 200 oC.
5.5 Bộ điều chỉnh điện thế
5.6 Bẫy/bộ gom
Bình hấp thụ kiểu Drechsel được cắm một ống không có màng xốp.
5.7 Bơm lấy mẫu
Bơm này có khả năng hút khí với lưu lượng từ 0,02 m3/h đến 0,2 m3/h trong khoảng thời gian lấy mẫu với áp lực từ – 10 kPa đến – 30 kPa.
5.8 Van điều chỉnh
Van kim có khả năng điều chỉnh lưu lượng khí ống khói từ 0,02 m3/h đến 0,2 m3/h.
5.9 Thiết bị đo lưu lượng không khí
Thiết bị đo lưu lượng khí ẩm (hoặc thiết bị đo lưu lượng khí khô với một ống làm khô ở đầu dòng khí) có khả năng sử dụng ở mức lưu lượng khí ống khói trong khoảng từ 0,02 m3/h đến 0,2 m3/h. Giới hạn sai số nhỏ hơn 2 %.
Cần kiểm tra giới hạn sai số hai lần một năm bằng một dụng cụ đo dùng bong bóng xà phòng thích hợp.
5.10 ống nối
Các ống nối có chiều dài và đường kính trong khác nhau làm bằng polyetylen, cao su silicon hoặc polytetra floetylen.
5.11 Nhiệt kế
Nhiệt kế đo được trong phạm vi từ – 5 oC đến + 50 oC, giới hạn sai số nhỏ hơn ± 0.2 oC.
5.12 áp kế
áp kế có khả năng đo áp suất khí quyển nơi lấy mẫu, giới hạn sai số của phép đo nhỏ hơn ± 1 %.
5.13 Đồng hồ bấm giây
5.14 pH mét đọc trực tiếp
Nên dùng loại pH mét có bổ chính nhiệt độ, phạm vi đo từ 0 đến 14, giới hạn sai số xung quanh độ pH 3,5 phải nhỏ hơn ± 0,2. Hiệu chuẩn pH mét đọc trực tiếp theo chỉ dẫn của nhà sản xuất.

6 Lấy mẫu
6.1 Tuỳ theo khoảng nồng độ lưu huỳnh dioxyt như quy định trong bảng 1 mà dùng một pipet hoặc một bộ hút dung dịch tự động để lấy 40 ml dung dịch hấp thụ (4.2) cho vào từng bình hấp thụ có dung tích 100 ml (5.1) hoặc 80 ml dung dịch hấp thụ cho vào từng bình hấp thụ có dung tích 250 ml (5.1). Nối hai bình hấp thụ cùng loại với các thiết bị đã nêu từ 5.1 đến 5.3 và từ 5.6 đến 5.11 sẽ có được một dãy thiết bị lấy mẫu theo sơ đồ mô tả ở hình 3. Sử dụng các đầu nối nhám từ đầu dòng khí lấy mẫu đến bình hấp thụ thứ hai.
6.2 Nối đầu lấy mẫu với dãy lấy mẫu, nút kín đầu vào của đầu lấy mẫu (5.1), bật bơm hút (5.7) rồi kiểm tra sự dò rỉ khí của cả dãy lấy mẫu theo cách thông thường ở phòng thử nghiệm. Sau đó tắt bơm hút.
6.3 Đưa đầu lấy mẫu vào lỗ tiếp cận trên thành ống khói và đặt mũi của đầu lấy mẫu vào điểm cần đo trong mặt phẳng cần đo của ống khói. Bịt kín khoảng không gian giữa đầu lấy mẫu và lỗ tiếp cận trên thành ống khói bằng vật liệu thích hợp sao cho không khí xung quanh không xâm nhập vào điểm đo cũng như không cho khí ống khói dò rỉ đáng kể ra ngoài.
6.4 Bọc bộ lọc bụi (5.2) vào vỏ tạo nhiệt (5.4). Mở hệ thống tạo nhiệt và điều chỉnh điện thế (5.5) để tạo ra nhiệt độ ở mỗi trong vùng được gia nhiệt, không để xảy ra hiện tượng ngưng tụ trong khoảng thời gian lấy mẫu. Sau 30 min (ở cuối giai đoạn tạo nhiệt), ghi lưu lượng khí, thời gian rồi khởi động bơm hút và điều chỉnh lưu lượng thể tích khí thải nằm trong khoảng từ 0,03 m3/h đến 0,2 m3/h.
6.5 Thông thường, khoảng thời gian lấy mẫu là 30 min. Ghi lại chỉ số trên nhiệt kế (5.11) của đồng hồ đo lưu lượng khí (ối), và ghi số chỉ trên áp kế (5.12). Lưu lượng khí thải đã chọn cần được giữ gần như không thay đổi.
Chú thích:
- Tốc độ dòng mẫu biết được từ thể tích mẫu khí ống khói cho trong bảng 1.
- ở những nồng độ lưu huỳnh dioxyt từ 30 mg/m3 đến 2000 mg/m3, thể tích mẫu cần lấy qua dãy lấy mẫu là 30 lít.
- ở những nồng độ lưu huỳnh dioxyt nhỏ hơn 30 mg/m3, thể tích mẫu cần lấy phải lớn hơn.
6.6 Vào cuối giai đoạn lấy mẫu, tắt bơm lấy mẫu, ghi thời gian và chỉ số trên đồng hồ đo lưu lượng khí. Lấy các bình hấp thụ ra khỏi dãy lấy mẫu rồi chuyển mẫu một cách định lượng cả hai bình lấy mẫu (hợp mẫu) vào một bình đựng mẫu có dung tích thích hợp. Tráng rửa bình hấp thụ và ống cắm trong bình bằng nước và dùng quả bóp để đẩy nước rửa qua các màng xốp. Gộp nước rửa vào hỗn hợp dung dịch mẫu trong bình đựng mẫu.
6.7 Nhúng pH mét vào dung dịch, đọc trực tiếp, điều chỉnh pH của hỗn hợp dung dịch mẫu đạt tới 3,5 bằng cách thêm một thể tích thích hợp dung dịch natri hydroxyt (4.4) hoặc dung dịch axit percloric (4.5) vào hỗn hợp dung dịch mẫu. Chuyển hỗn hợp dung dịch mẫu cuối cùng này vào bình định mức có dung tích thích hợp (xem bảng 1). Thêm nước đến vạch. Lắc đều.
6.8 Để tiếp tục lấy mẫu khí ống khói, lại cho một thể tích thích hợp dung dịch hấp thụ vào mỗi bình hấp thụ. Lắp các bình hấp thụ vào dãy lấy mẫu rồi tiến hành như trên (theo 6.1 đến 6.7). Cần đảm bảo không để không khí bên ngoài xâm nhập vào bộ lọc bụi hoặc vào đầu lấy mẫu khi các bình hấp thụ được tháo rời khỏi thiết bị lấy mẫu.
Chú thích:
1. Thực nghiệm cho thấy nhiệt độ ở bộ lọc bụi nằm trong khoảng 150 oC đến 200 oC là đủ.
2. Nếu dùng đồng hồ đo lưu lượng khí ướt trước khi lấy mẫu, cần cho một lượng khí ống khói đang xét đi qua thiết bị lấy mẫu có chứa một khối lượng cacbon dioxyt (CO2) lớn hơn so với yêu cầu để làm bão hoà chất lỏng làm kín trong đồng hồ lưu lượng khí ướt bằng CO2. Thực nghiệm cho thấy rằng thể tích khí ống khói đang xét nằm trong khoảng từ 0,05 m3 đến 0,1 m3 là đủ. Hơn nữa, nhiệt độ của chất lỏng làm kín trong đồng hồ đo lưu lượng khí ướt không được chênh lệch đáng kể so với nhiệt độ của khí đi qua.
Bảng 1 – Quy định thể tích khí ống khói đi qua thiết bị lấy mẫu; thể tích dung dịch đã xử lý cần được chuẩn độ và thể tích dung dịch bari perclorat tiêu tốn liên quan tới khoảng giá trị nồng độ khối lượng SO2
|
Nồng độ dự kiến của SO2 mg/m3 |
Dung tích các bình hấp thụ ml |
Thể tích dung dịch cần cho vào mỗi bình hấp thụ ml |
Thể tích khí ống khói đi qua thiết bị lấy mẫu m3 |
Thể tích hỗn hợp mẫu đã được xử lý ml |
Thể tích hỗn hợp dung dịch mẫu đã xử lý để chuẩn độ ml |
Thể tích dung dịch Ba(ClO4)2 dùng để chuẩn độ phần hút Ml |
|
30 đến 100 |
100 |
40 |
0,100 |
100 |
20 |
1,875 đến 6,25 |
|
> 100 đến 500 |
100 |
40 |
0,060 |
100 |
20 |
3,75 đến 18,75 |
|
> 500 đến 1000 |
250 |
80 |
0,060 |
250 |
20 |
7,5 đến 15 |
|
> 1000 đến 2000 |
250 |
80 |
0,030 |
250 |
20 |
7,5 đến 15 |
|
> 2000 đến 5000 |
250 |
80 |
0,030 |
250 |
20 |
1,5 đến 37,5 |
|
> 2000 đến 5100 |
250 |
80 |
0,030 |
250 |
10* |
7,5 đến 18,75 |
|
Chú thích - *) Thể tích hỗn hợp dung dịch mẫu cần hút để chuẩn độ được pha loãng thành 20 ml bằng nước cất |
||||||

Hình 3 - Sơ đồ dãy thiết bị lấy mẫu để xác định nồng độ lưu huỳnh dioxyt trong khí ống khói
7 Cách tiến hành
7.1 Kiểm tra hiệu suất hấp thụ
Cho một thể tích dung dịch hấp thụ thích hợp (xem bảng 1) vào từng bình hấp thụ. Hai bình hấp thụ này cùng một loại đã được định trước. Nối các bộ phận như đã nêu trong 5.1.1 thành một hệ thống lấy mẫu. Dùng các khớp nối thuỷ tinh nhám hình cầu vào phía trước bình hấp thụ thứ hai.
Tham khảo bảng 1 để chọn thời gian lấy mẫu sao cho lượng hấp thụ vào khoảng 0,5 mg lưu huỳnh dioxyt trong 1 ml dung dịch hấp thụ ở bình thứ nhất. Tiến hành lấy mẫu như quy định trong điều 6.
Tính toán hiệu suất hấp thụ bằng cách chia thể tích dung dịch bari clorat chuẩn (4.3) dùng để chuẩn độ dung dịch mẫu trong bình hấp thụ thứ nhất cho tổng thể tích dung dịch bari perclorat (4.3) dùng để chuẩn độ dung dịch mẫu trong bình hấp thụ thứ nhất và thứ hai.
Hiệu suất hấp thụ tối thiểu cần đạt là 95 %. Những bình hấp thụ không đáp ứng đòi hỏi này cần được loại bỏ.
7.2 Xác định
Hút một phần hỗn hợp dung dịch mẫu đã xử lý theo bảng 1, chuyển vào một bình nón có dung tích thích hợp, thêm 80 ml propan-2-ol (4.1) và 4 giọt dung dịch thorin (4.6), khuấy đều. Ghi tỷ số fv giữa thể tích của hỗn hợp dung dịch mẫu đã xử lý và thể tích của phần mẫu lấy ra phân tích.
Chuẩn độ mẫu bằng dung dịch chuẩn bari perclorat (4.3) tới khi màu của dung dịch chuyển từ vàng da cam sang hồng nhạt bền. Ghi lại thể tích các dung dịch thuốc thử đã tiêu tốn cho việc chuẩn độ. Lặp lại quy trình này lần thứ ba nếu một trong hai kết quả không rõ ràng rồi tính lại giá trị trung bình V1 của các giá trị đó.
Chú thích - Trong một số loại ánh sáng, sự chuyển màu của dung dịch từ vàng da cam sang hồng nhạt rất khó nhận thấy, chẳng hạn như trong ánh sáng huỳnh quang và ánh sáng mặt trời trực tiếp, việc chuẩn độ cần được tiến hành dưới ánh đèn vào ban ngày hoặc tốt hơn là dùng một quang kế có sợi dẫn ánh sáng là thuỷ tinh quang học có khả năng đo độ truyền quang của chất lỏng ở bước sóng 520 nm, và một bộ chuẩn độ tự động.
7.3 Chuẩn bị dung dịch trắng
Chuẩn bị dung dịch trắng bằng cách thêm 80 ml propan-2-ol (4.1) và 4 giọt thorin (4.6) vào một phần của dung dịch hấp thụ. Thể tích của dung dịch trắng bằng thể tích hỗn hợp dung dịch mẫu đã được xử lý, rồi tiến hành như trên. Giá trị trắng V2 thường được đánh giá mỗi khi pha dung dịch hấp thụ.
Chú thích - Nếu nồng độ khối lượng SO2 trong khí thải đang xét lớn hơn nhiều so với giới hạn phát hiện của phương pháp (xem 9.1) thì việc đánh giá các giá trị trắng có thể không cần thiết nữa.
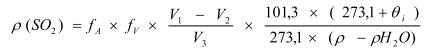
8 Tính toán kết quả
Nồng độ khối lượng lưu huỳnh dioxyt tính theo miligam trên mét khối có trong khí ống khói ở điều kiện tiêu chuẩn (ρn = 101,3 kPa và Ti = 273 K), quy về khí thải khô được tính theo biểu thức sau:

Trong đó
fA là lượng tương đương với lưu huỳnh dioxyt của dung dịch bari perclorat đem dùng, tính bằng miligam trên mililit;
fV là tỷ số thể tích dung dịch mẫu đã xử lý với thể tích của phần hỗn hợp dung dịch mẫu thử;
ρ là áp suất khí quyển ở giai đoạn lấy mẫu, tính bằng kilopascan;
ρH2O là áp suất riêng phần của hơi nước tính bằng kilopascan ở nhiệt độ bách phân ố i ; nếu dùng đồng hồ đo lưu lượng khí khô thì áp suất riêng phần của hơi nước bằng 0;
V1 là giá trị trung bình của thể tích dung dịch chuẩn bari perclorat (4.3) được dùng để chuẩn độ phần thể tích (xem bảng 1) hỗn hợp dung dịch mẫu thử đã xử lý, tính bằng mililit;
V2 là giá trị trung bình của các giá trị thể tích dung dịch chuẩn bari perclorat (4.3) được dùng để chuẩn độ dung dịch trắng, tính bằng mililit;
V3 là thể tích mẫu khí thải, tính bằng mililit;
qi là nhiệt độ của thể tích khí thải đang xét đi qua đồng hồ đo lưu lượng khí, tính bằng độ Celsius (oC).
9 Đặc tính của phương pháp
9.1 Giới hạn xác định
Giới hạn xác định của phương pháp là 0,72 mg/m3 khi cho một thể tích khí ống khói đang xét đi qua thiết bị lấy mẫu và khi chọn các phần hút như đã nêu trong bảng 1.
9.2 Độ lệch chuẩn trong điều kiện lặp lại
Dựa vào kết quả nồng độ khối lượng SO2 tìm được trong các thể tích khí ống khói như nhau, ở cùng một thời điểm và trong cùng một khoảng thời gian như nhau từ một điểm đo giống nhau, độ lệch chuẩn trong điều kiện lặp lại được cho trong bảng 2.
Bảng 2 - Độ lệch chuẩn trong điều kiện lặp lại
|
Trung bình nồng độ khối lượng SO2 (mg/m3) |
Số cặp giá trị n |
Độ lệch chuẩn của dãy phép đo dựa trên n cặp giá trị mg/m3 |
|
16 |
10 |
4,4 |
|
221 |
35 |
7,1 |
|
470 |
10 |
17 |
|
2000 |
28 |
74 |
10 Báo cáo kết quả
Trong báo cáo kết quả, cần thiết phải có các thông tin sau:
a) Viện dẫn tiêu chuẩn này
b) Nhận biết mẫu;
c) Mô tả lò đốt và quá trình hoạt động (công nghệ);
d) Điều kiện vận hành của lò đốt;
e) Vị trí mặt phẳng đo;
f) Vị trí diểm đo trong mặt phẳng đo;
g) Lưu lượng khí thải
h) Những thay đổi trong các hoạt động của lò đốt chất thải trong khi lấy mẫu, chẳng hạn những thay đổi bộ phận đốt nhiên liệu;
i) Nêu ra bất kỳ thao tác nào không được quy định trong tiêu chuẩn này hoặc được coi là thao tác tuỳ ý;
j) Kết quả phân tích;
k) Ngày tháng và thời gian lấy mẫu.
THƯ MỤC TÀI LIỆU THAM KHẢO
TCVN 5975 : 1995 (ISO 7934 : 1989), Sự phát thải của nguồn tĩnh - Xác định nồng độ khối lượng lưu huỳnh dioxyt - Phương pháp hydro peroxyt / bari perclorat / thorin.